ЭКОНОМИЧЕСКАЯ ПОЛИТИКА: Рост и регионы

В процессе переходного периода 90-х гг. сформировались значительные региональные различия по темпам экономического роста и по доходам. Эти различия отражают очень неравномерное территориальное распределение сравнительных экономических преимуществ и ресурсных богатств, а также являются наследием территориального планирования, в результате которого определенная часть населенных пунктов и экономической деятельности оказалась сосредоточена в районах, чьи конкурентные перспективы на мировых рынках сомнительны.
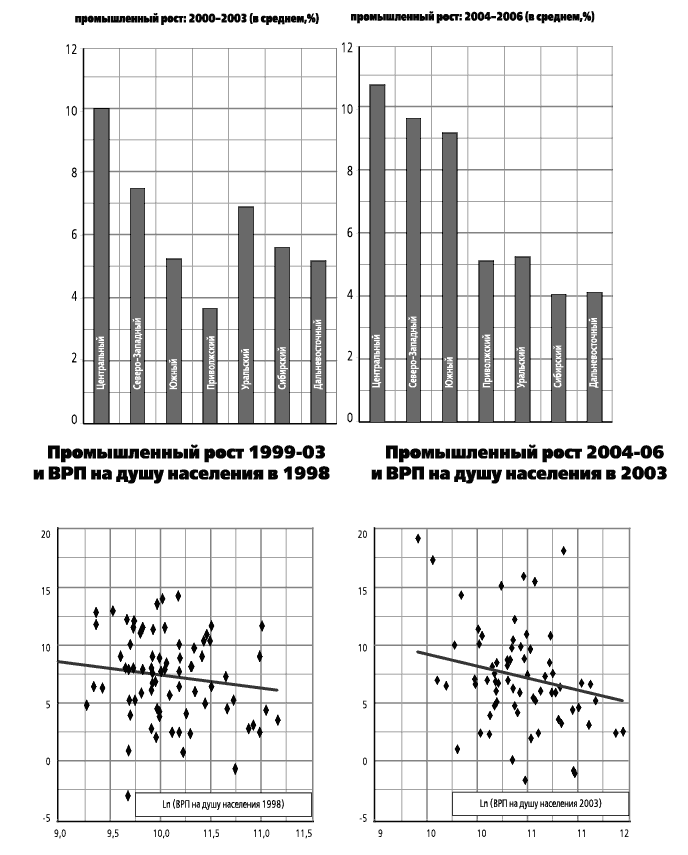
Тем не менее факторы экономического роста, действовавшие в России после кризиса 1998 г. (слабый рубль, избыточные мощности, дешевые энергоносители), создавали благоприятные условия для роста в большинстве регионов. В среднем бедные регионы росли даже быстрее, чем богатые. Факторы, обеспечивавшие рост в последующие годы (2003–2007), (высокие цены на сырье, бурный рост внутреннего спроса, агломерации) предполагают крайне неравномерное распределение преимуществ между различными российскими регионами. Соответственно, в последние годы распределение экономического роста стало менее равномерным по регионам России. Но дифференциация субъектов РФ не увеличилась ни в период после кризиса (1999–2003), ни в последующие годы (2004–2006). Приведенные графики показывают соотношение между уровнем экономического развития региона (ВРП на душу населения) и ростом промышленности в эти два периода. В среднем более бедные регионы росли быстрее в оба периода, и поэтому разница между более богатыми и более бедными регионами не увеличилась.
Почему смена факторов экономического роста и более неравномерный рост по регионам не привели к большему региональному расслоению? По-видимому, это связано с двумя обстоятельствами: a) быстрым ростом в ряде регионов Европейской части России и Юга, в которых в 2003 г. был еще сравнительно низкий подушевой ВРП (Калужская, Тверская, Владимирская, Воронежская, Рязанская, Брянская, Костромская, Тульская и Ивановская области); б) более медленным ростом в ряде богатых ресурсами регионов с относительно высоким ВРП на душу населения (Башкортостан, Татарстан, Тюменская область, Кемеровская область, Республика Коми, Пермский край, Мурманская область, Республика Саха (Якутия), Красноярский край и Томская область).
Основная тенденция в региональном развитии в последние годы – это не увеличивающаяся дифференциация регионов, а б?льшая концентрация роста в западной части страны. Появление этой тенденции четко видно на рисунках 3 и 4. За исключением Центрального федерального округа, в котором уже в период 1999–2003 гг. наблюдались более высокие средние темпы роста, в остальных регионах показатели роста были распределены более равномерно. В 2004-2006 гг. среднегодовой темп промышленного роста фактически усилился в Центральном, Северо-Западном и Южном округах и одновременно замедлился в стране в целом. Средний промышленный рост в других федеральных округах был практически в два раза меньше, чем рост в этих трех округах.
Западная (европейская) часть России имеет ряд важных преимуществ по сравнению с остальной Россией, включая более благоприятный климат и развитую инфраструктуру. Немало экономических исследований последних лет также указывают на важность так называемых агломераций для быстрого роста. Эффекты агломерации связаны с преимуществами, возникающими в результате географической близости к рынкам. Эти эффекты могут принимать ряд конкретных экономических форм. В случае России следует говорить прежде всего о двух видах эффектов агломерации: масштабы городов (городская агломерация) и эффекты трансмиссии экономического роста от одного региона к другому (пространственная корреляция роста).
Статистический анализ, проводимый в рамках исследования Всемирным банком российского регионального развития, показывает значимость эффектов обеих форм агломерации для объяснения регионального роста в России. Размер столичного (или самого большого) города является важным объясняющим фактором для регионального роста. Эффекты трансмиссии экономического роста от одного региона к другому особенно сильны в регионах, находящихся в непосредственной близости к Москве или Санкт-Петербургу. В некоторых регионах до 4,5% роста ВРП объясняется ростом в соседних регионах.
Из вышеизложенного вырисовывается неоднородная картина регионального развития России. С одной стороны, большинство российских регионов продолжают демонстрировать значительные темпы роста. Вопреки предположениям, высказанным в ряде исследований, по-видимому, пока нельзя говорить о наличии общей тенденции к усилению дифференциации по уровню объемов производства среди российских регионов. С другой – как только подавляющее большинство быстро растущих европейских регионов Центрального округа превысят средний по стране уровень ВРП, их дальнейший ускоренный рост будет ассоциироваться скорее с дифференциацией, чем со сближением. Проблемы региональных диспропорций, по-видимому, будут только усугубляться в среднесрочной и долгосрочной перспективе на фоне сильных эффектов агломерации.
Растущие агломерационные эффекты необходимо учитывать при проведении экономической политики. В большинстве стран региональная политика направлена на экономически отсталые регионы. Однако в российских условиях, возможно, имеет смысл ориентироваться также на точки роста, как предложено в проекте Министерства регионального развития “Стратегии социально-экономического развития регионов Российской Федерации”. России нужны большие городские агломерации помимо Москвы и Санкт-Петербурга. В настоящее время Россия сталкивается с демографическими и миграционными проблемами, которые ставят на повестку дня вопрос о важной роли государства в решении этой задачи.
В то же время, учитывая значительную заселенность экономически отсталых территорий, в том числе территорий особой политической важности (например, Дальний Восток), эти территории также должны находиться в центре внимания региональной политики. Признавая важность стимулирования переселения из отсталых регионов в точки роста для целей экономического развития и борьбы с бедностью, региональные и местные чиновники в более отсталых регионах тем не менее должны обладать возможностями и инструментами для стимулирования и поддержания роста на своих территориях. Эффективная региональная политика в этих обстоятельствах будет зависеть от характера федеративных отношений, а также от того, насколько оптимально делегированы полномочия, чтобы обеспечить подлинно многоуровневое управление в процессе поиска перспективных направлений и в ходе реализации проектов. Пока еще не ясно, какие именно регионы России перспективны в экономическом отношении и в каких видах экономической деятельности. Таким образом, на сегодняшний день ответ на этот вопрос, отчасти в ходе пилотных проектов, мог бы послужить конструктивным центральным звеном региональной политики.