15 лет новой России: Из-под вех

Чтобы определить свое отношение к тому, чего добилась Россия за последние 15 лет, нужно условиться, с чем сравнивать. В зависимости от выбранной вехи картины будут разными. Можно увидеть подающую надежды развивающуюся экономику, а можно – закрытую сырьевую державу, черпающую политические идеи в советском прошлом.
Можно сравнивать нынешнюю Россию с РСФСР 1990 г., можно – с республиками, входившими в СССР, и с бывшими коллегами по Восточному блоку. Можно вспомнить любимый советскими пропагандистами 1913 год. Многие из изменений последних 15 лет вписываются в мировые процессы, поэтому параллелей и ориентиров – не счесть.
Есть удобный для инвестиционных аналитиков способ – смотреть на страну в контексте ей подобных. Например, в контексте Бразилии, Индии и Китая (группа BRIC). Россия в этой группе – самая малонаселенная, а значит, по доходам на душу выглядит лучше остальных.
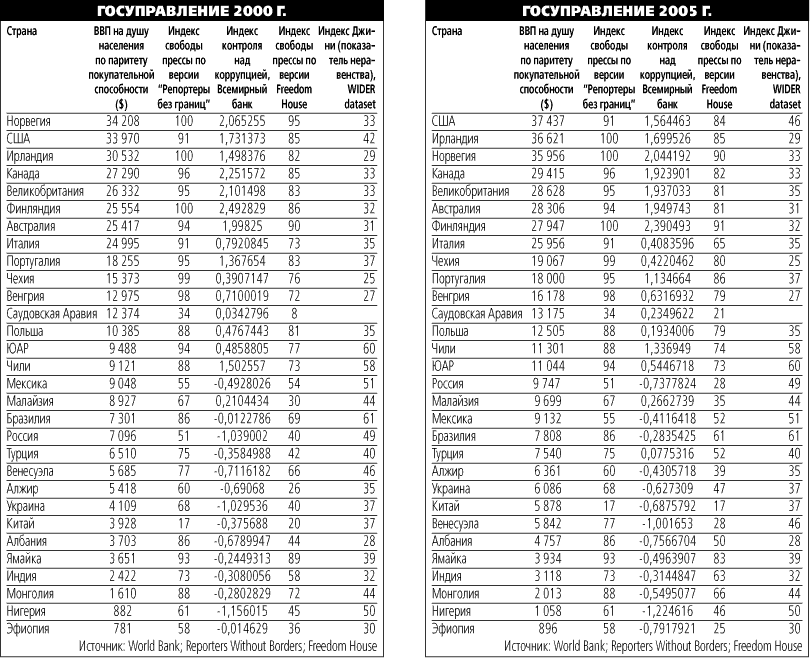
По подушевому доходу мы скоро преодолеем психологически важную отметку $10 000 (по паритету покупательной способности; данные World Bank’s World Development Indicators, см. таблицы в интернет-версии). На мировом фоне это средний уровень – уровень не бедной и не богатой страны с неплохими инвестиционными перспективами. Автор книги “Нормальная страна” гарвардский экономист Андрей Шлейфер, известный защитник сопоставления сопоставимых, пишет: “Демократия в таких странах, если она вообще существует, как правило, бывает весьма далекой от идеала. Правительства поражены коррупцией, суды политизированы, а пресса практически никогда не бывает полностью свободной”. Добавьте сюда огромную разницу в доходах между самыми богатыми и самыми бедными, высокую концентрацию собственности – и придете к простому выводу: Россия – это типичный случай.
Есть еще и фактор времени. За 15 лет государству и обществу нужно было проделать ту же работу, на которую в одних случаях уходили сотни, в других – десятки лет. Произошло только то, что ничего сверхъестественного не произошло – с Россией не случилось ни экономического чуда, ни каких-либо других чудес. Средняя страна со средним уровнем доходов.
Но что-то мешает на этом успокоиться. Даже если смотреть на цифры, они на самом деле не утешают. Зарабатывая все больше, потихоньку обгоняя “средних”, Россия во многих отношениях – важных с точки зрения качества жизни – начинает все больше напоминать “бедную” страну. За пять лет опередив Мексику, Бразилию и Турцию по уровню доходов (см. в интернет-версии таблицы за 2000 и 2005 г.), наша страна ухудшила положение со свободой прессы и коррупцией. Доходы на душу населения у нас теперь почти как в Южной Африке или Чили, а по показателю контроля над коррупцией мы приближаемся к Албании и Индонезии.
Позиции России в различных рейтингах, которые сейчас в большинстве своем огорчают, со временем, вероятно, улучшатся. Даже если будет сделан такой специальный рейтинг, в котором Россия будет выглядеть выгодно (см., например, седьмое место России по “потенциалу международного влияния” в только что опубликованном “Политическом атласе современности”), все эти цифры останутся флажками для экспертов. Тем, кто внутри страны, – большинству россиян – не часто приходится бывать в Бразилии, Китае или Мексике. Для них все эти сравнения не имеют большого смысла.
У тех, кто живет в стране, другие вехи. Представить их в цифрах и графиках затруднительно, поскольку речь идет об убеждениях и вере. Если при экспертном подходе к стране чем больше знаешь, тем меньше удивляешься (“нормальная страна”), то здесь все наоборот. Чем больше знаешь о России, о богатстве ее исторического опыта и глубине духовного поиска, тем больше удивляешься тому, что с ней происходит. Ожидания и реальность конфликтуют. Пятнадцать лет назад никто из нас – ни инженеры, ни рабочие, ни славянофилы, ни западники – не собирался засучив рукава строить типичную страну со средним уровнем доходов и высоким уровнем коррупции.
Хочется быть неакадемически нормальной страной. Страной с высоким качеством жизни, справедливыми и работающими законами, понятными целями развития, достойным положением в мире. В отличие от экспертного взгляда, этот взгляд – гражданский. Когда свою страну оценивают ее граждане, особенно те, кто много знает о ней изнутри, то их взгляд может быть и жестким, и требовательным. Гражданин взыскательнее самого пристрастного стороннего критика.
Серия статей, которую открывает эта публикация, преследует простую цель – совместить ученый экспертный взгляд, предполагающий отстраненность, и гражданский взгляд, отстраненности не предполагающий.
